摘要:帶壓密封技術的出現,在消除流程工業領域生產裝置的跑、冒、滴、漏等安全隱患過程中發揮了重大的作用,產生了巨大的經濟和社會效益。本文對帶壓密封技術的定義、特點及相關國家標準、行業標準、法律法規進行了簡要介紹。同時,從受力分析、安全評估、安全結構等技術角度,對壓力管道泄漏的帶壓密封過程進行了深入的探討,提出了確保施工安全的理論依據、評判標準及實踐做法。
關鍵詞:帶壓密封 壓力管道泄漏 受力分析 安全評估 安全措施
1、帶壓密封技術概述
1.1 技術定義
帶壓密封(堵漏)有廣義和狹義兩種定義。廣義而言,帶壓密封是指在連續生產過程中,當裝置上某一部位出現流體介質泄漏后,在不停止裝置運行的情況下,對泄漏部位進行有效封堵的“各種技術手段”。狹義的帶壓密封主要指“注劑式帶壓密封技術”。
圖1 注劑式帶壓密封原理示意圖
從學科分類角度,帶壓密封技術是采用特制夾具、頂壓器具、注劑工具、密封材料等,對正在發生的泄漏進行快速止漏的特殊技術手段。它是涉及到力學、磁學、液壓技術、高分子材料學、無機材料學、金屬材料學、流變學等多學科的一門綜合應用技術,是保證安全生產和公共安全不可或缺的應急搶險手段。
1.2 技術特點
(1)經濟效益顯著
泄漏往往是引發其他重大事故的直接禍根,為避免發生更大的惡性事故,生產企業一般不得不采用停產的方法來消除泄漏。而“注劑式帶壓密封技術”消除泄漏的過程自始至終是在工藝生產照常進行、任何工藝參數均不降低的情況下進行的,這一點對于連續化生產的企業來說至關重要。一個中型企業停產一天將損失產值數百萬元,而一個大型企業停產一天將損失產值數千萬元甚至上億元。因此,采用“注劑式帶壓密封技術”來消除威脅安全生產的泄漏,所能避免的經濟損失是十分可觀的。
(2)安全可靠
該技術是手工液壓操作整體修理技術,全部施工過程中可以做到不產生任何火花,這一點對于易燃易爆的流體介質的泄漏尤為適用,因此在任何防火、防爆界區內都可以放心地使用。另外,只要夾具的強度和剛度滿足要求,就可以保證新建立的密封結構的可靠性。
(3)適用性廣
這項技術可以用于蒸汽、酸、堿、鹽、烴類、醇、醛、酮、醚、油品等200多種石油化工流體介質泄漏的動態密封,溫度從-198℃~900℃,壓力從真空到35.0 MPa。
(4)適應性強
使用此項技術,在施工作業前無需對泄漏部位進行處理、不破壞原有的密封結構,同時新建立的密封結構對原失效的密封面或泄漏缺陷具有一定的保護作用,可以使其免遭泄漏介質的繼續沖刷,為以后的修復工作創造了有利的條件。
(5)消除泄漏快
該項技術在現場實際作業時,從安裝夾具、注射密封注劑到泄漏停止,通常所需時間較短。例如,一個DN40的法蘭泄漏,可以在十分鐘內消除;即使是直徑為1000mm以上的法蘭泄漏,也能在幾小時內消除。操作時間的長短主要取決于密封注劑的注射量,使用電動工具則可有效地縮短作業時間。
(6)良好的可拆性
帶壓密封作業時,密封注劑被注射到夾具與泄漏部位外表面所形成的密封空腔內,無論固化前還是固化后,密封注劑均不與泄漏部位和夾具粘合、易于去除,從而便于進行以后的修復工作。
1.3 相關國家標準與法律法規
(1)國家行業標準
HG/T 20201—2007,《帶壓密封技術規范》
(2)國家標準
GB/T 26467—2011,《承壓設備帶壓密封技術規范》
GB/T 26468—2011,《承壓設備帶壓密封夾具設計規范》
GB/T 26556—2011,《承壓設備帶壓密封劑技術條件》
(3)相關法律法規
TSG D0001-2009 《壓力管道安全技術監察規程—工業管道》(簡稱)第五章第三節第115條, TSG 21-2016《固定式壓力容器安全技術監察規程》(簡稱)第5.4條,規定了帶壓密封技術的使用條件:
“管道/壓力容器內部有壓力時,一般不得對受壓元件進行重大維修。
對于生產工藝過程特殊,需要帶溫帶壓緊固螺栓或者出現緊急情況采用帶壓密封堵漏作業時,使用單位應當制定有效的操作要求和防護措施,經技術負責人批準后,在安全管理人員現場監督下實施。
實施帶壓密封堵漏的操作人員應當經過專業培訓,持有相應項目的《特種設備作業人員證》。
1.4 技術現狀及發展趨勢
“帶壓密封技術”的誕生已經有將近100年的歷史,自上世紀80年代引入我國后,在廣大工程技術人員的不斷研究、實踐下,已經形成了具有中國特色的技術和工程體系。這項技術在消除流程工業領域生產裝置的跑、冒、滴、漏等安全隱患過程中發揮了重大的作用,產生了巨大的經濟效益和社會效益。
近年來,在“注劑式帶壓密封技術”的基礎上,國內相關企業又研發了“橡膠磁快速堵漏工具”、“鋼絲繩鎖快速堵漏工具”等新型帶壓密封工器具,得到了包括應急管理部在內的國家相關部門的肯定和大力推廣,正在煉油、化工、能源、電力、?;穬\等行業得到越來越廣泛的應用。
但是不得不提到,在近期國內重特大安全事故頻發、安全生產形式十分嚴峻的大環境下,某些部門、行業對帶壓密封技術的安全性提出了質疑,甚至要限制這項技術的應用。筆者認為這種想法是十分片面的:正如不能把交通事故頻發歸因于汽車的出現一樣,也不能把由于違章實施帶壓密封操作產生的事故歸因于帶壓密封技術本身。因此,有必要從技術的角度,對影響帶壓密封技術實施過程中安全性的因素進行分析,同時提出具體的評估標準和解決辦法。
2、壓力管道帶壓密封部位受力分析
當壓力管道需要帶壓密封作業時,在帶壓密封部位存在著四種作用力:
2.1 由內壓引起的環向應力——拉伸應力Rm
其受力情況由受內壓的薄壁壓力容器計算公式來表達:
其中:
δ:管道壁厚,mm
P:管道內流體壓力(應選擇P max),MPa
D:管道內徑,mm
[σ]t :管道材料在使用溫度下的許用應力,MPa
φ:焊接接頭系數,0.7~1。當無焊縫時,φ=1
在正常運行條件下,δ實際≥δ計算
2.2 由內壓引起的軸向應力RA
在正常運行條件下,RA<[σ]t
2.3 帶壓密封操作對管壁產生的外部壓力P外
帶壓密封消除泄漏時,對管道外壁產生很大的外壓力P外(即P操=P外),
P操=P+5 MPa
在P外(P操)作用下將產生環向壓縮應力Rc,與內壓管道環向拉伸應力Rm一樣,其值Rc=Rm=PD/2δ。但其破壞情況與受內壓完全不同:當Rc遠低于材料屈服極限時,管壁會被突然壓癟。這種在外壓增大到某一值時,管壁逐步變形被壓癟的現象,稱為管道的失穩。導致失穩的外壓稱為臨界壓力(P臨)。
為保障外壓管道的穩定和安全,其外部允許的壓力P允應滿足:
P允≤P臨,也即 P操≤P臨/m
上式中m為穩定系數,其值與計算方法準確度和管道的質量(例如初始橢圓度)有關,我國取m=3。
可見問題的關鍵是找出帶壓密封管段的臨界壓力P臨。
根據對外壓圓筒穩定性試驗結果,整理出的臨界壓力公式如下:
P臨=2.2E(δ/D外)3
公式(3)
其中:
D外:管道外徑
E:管道所用材料的彈性模量(鋼材的E=2×105 MPa)
其他材料的彈性模量E(包括有色金屬,玻璃,塑料,混凝土等)都比鋼材的小,其臨界壓力較低,帶壓密封時必須注意P臨的大小與壁厚成正比,壁厚減薄,P臨下降。P臨與外徑成反比,直徑增大,P臨下降。
2.4 彎曲應力
在帶壓密封施工中,管道所受的彎曲應力由夾在管道上夾具的體積和重量引起,它與管徑大小、壁厚以及固定點的距離有關。由彎曲應力造成的管道彎曲或折斷破壞,大多發生在直徑較小的儀表管、測量管,以及部分管道壁厚減薄嚴重、孔洞巨大或橫向裂紋貫穿面較大的場合。
3、管壁出現非正常情況帶壓密封的安全評估
3.1 管壁穿孔
3.1.1. 成因
(1) 原來材料或焊縫的氣孔、砂眼;
(2) 流體流動改變方向時的沖刷,如轉彎和T形接口;
(3) 整體管壁減薄后,局部出現泄漏孔。
3.1.2 需檢查測量內容
(1) 介質、壓力、溫度;
(2) 材質、外徑(內徑)、壁厚,其中外徑、壁厚需要現場測量;
(3) 測量泄漏孔徑。如果為圓孔,則測量孔直徑;如果孔形狀不規則,則測量孔的縱向尺寸、橫向尺寸。
3.1.3 用上述測量的實際數據計算和評估
(1) 用實際數據代入公式(2),計算出軸向應力:
其中:管截面外周長=π×D外
如果:RA<[σ]t ,則安全(軸向)
RA>[σ]t ,則不安全
(2) 如果管壁已經減薄,則應用檢測數據按公式(1)校核環向應力。
如果:δ計算<δ實際 ,則安全
δ計算>δ實際 ,則不安全
(3) 如果管壁已經減薄,則應用檢測數據按公式(3)校核失穩風險,其中有:
P允=P臨/3
如果:P操≤P允 ,則安全
P操>P允 ,則不安全
3.2 管壁減薄
3.2.1 成因
(1) 流體腐蝕(內部),大氣腐蝕(外部);
(2) 介質流動沖刷。
3.2.2 需檢測內容
與3.1.2(1)、(2)相同。
3.2.3 計算和評估內容
(1) 環向應力的校核方法與3.1.3(2)相同。
(2) 失穩風險的校核方法與3.1.3(3)相同。
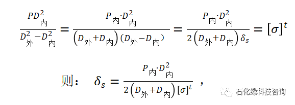
(3) 軸向應力的校核方法是,由公式(2)可推導出:
其中δs:管道減薄最小安全壁厚。
如果:δ實際≥δs ,則安全
δ實際<δs ,則不安全
3.3 管壁裂紋
3.3.1 成因
(1) 管道鋼板在軋制中形成;
(2) 周期震動;
(3) 應力周期循環(如高壓—低壓反復出現);
(4) 焊接處理不當;
(5) 冷熱急劇變換。
3.3.2 裂紋的危害
(1) 裂紋是不安全的;
(2) 按方向分,裂紋有縱向裂紋和環向裂紋,而尤以環向裂紋危害最大;
(3) 裂紋最大的危害是發展迅速,使管道橫斷環面積快速減小的同時使軸向應力快速增加,從而導致管道斷裂。
3.3.3 需檢查測量內容
(1) 介質、壓力、溫度;
(2) 材質、外徑(內徑)、壁厚。其中外徑、壁厚需要現場測量;
(3) 測量裂紋尺寸,包括裂紋的縱向尺寸、環向尺寸。
3.3.4 計算和評估內容
(1) 如果壁厚已減薄,應按(2.2.3)進行計算和評估;
(2) 對于環向裂紋,應用公式(2)可計算軸向應力:
其中:管截面外周長=π×D外
—安全條件下,環向裂紋長度占管道外周長的百分比
則有:
如果:x實際<x計算 ,則安全
x實際≥x計算 ,則不安全
4、管壁帶壓密封的安全結構
當管壁出現穿孔,壁厚減薄原因造成壁厚δ實際<δ計算、軸向應力RA>[σ]t,注射壓力P操>P臨等不安全因素時,則采用以下兩種加固安全結構。
(1) 圖2、圖3是在夾具內部加兩塊半圓形的加固板,其內徑等于管道外徑。該加固板安裝前用螺栓與夾具內連接,與夾具一起安裝覆蓋在孔洞和減薄部位上。緊固夾具后,使連接螺栓與加固板脫離,再用固定螺栓頂固加固板,即可按正常程序注入密封劑消除泄漏。為防止軸向應力的破壞,夾具兩側應與管道焊接成一體。
(2) 圖4的夾具加固板內部結構相同,不同的是不用將夾具與管道焊接,而是根據現場的情況,在兩對法蘭的外側加兩個圓盤,用拉桿連接起來,拉桿的總截面應大于管道的環形截面。如果兩圓盤分別焊于夾具兩側,效果會更好。

(3) 如果管壁只出現裂紋,而沒有穿孔和減薄,則夾具內不需用加固板,最好在裝夾具前采取一些防止裂紋擴大的措施(例如裂紋兩端加鉆小孔等)。
(4) 通過以上的結構,即使管壁已經出現極端情況(管壁上的橫向裂紋貫穿了整個橫斷面、泄漏部位已沒有任何能力抵抗各種作用力),也不會出現管道的泄漏、斷裂和崩潰,從而保證安全運行。
5、結論
在國內三十多年來的理論研究與實踐操作的基礎上,隨著密封注劑產品的逐步發展、新型工器具的出現以及操作技術的不斷完善,大部分流體壓力介質泄漏的部位都可以采用帶壓密封技術有效地進行堵漏作業,達到重新密封的目的。但必須強調,在實施帶壓密封作業之前,應該對泄漏裝置和部位進行詳細的現場勘測,對實施帶壓密封作業的安全性進行全面評估,在此基礎上再嚴格按照相關法律法規、行業和國家標準、安全操作規程的要求進行帶壓密封施工,這樣才能使這項技術在保證相關行業安全、環保、節能地持續生產和長期運行上發揮越來越大的作用。
參考文獻:
[1] 王揚昇編著,《帶壓堵漏》,天津科學技術出版社,2002
[2] 胡憶溈,帶壓密封工程泄漏現場勘測方法研究,《潤滑與密封》,2006,(6):38~40
[3] HG/T 20201-2007 《帶壓密封技術規范》,北京:中國計劃出版社,2007
[4] TSG D0001-2009,《壓力管道安全技術監察規程—工業管道》,國家質量監督檢驗檢疫總局頒布,2009
[5] GB/T 26467,26468,26556-2011,《承壓設備帶壓密封技術規范》、《承壓設備帶壓密封夾具設計規范》、《承壓設備帶壓密封劑技術條件》,北京:中國標準出版社,2011
[6] TSG 21-2016《固定式壓力容器安全技術監察規程》,國家質量監督檢驗檢疫總局頒布,2016
[7] 胡憶溈等著,《危險化學品搶險技術與器材》,北京:化學工業出版社,2016
作者簡介:姚鵬,男,47歲,工學博士,2000年畢業于北京化工大學化學工程學院;工作單位:天津市江達揚升工程技術有限公司;職務:副總經理;通信地址:天津市濱海新區中塘鎮安達工業園區立達街248號。
免責聲明:本網站所轉載的文字、圖片與視頻資料版權歸原創作者所有,如果涉及侵權,請第一時間聯系本網刪除。